LINN introduit un nouveau porte étendard pour 2024 :
LINN Klimax Solo 800.
Les Solo 800 sont des blocs monophoniques de très haute performances qui complètent la gamme Klimax par le haut offrant ainsi un compagnon de course au désormais célèbre Klimax DSM/3 Organik.
![]() |
| LINN Klimax Solo 800 - Black- Silver |
LINN a développé de nouvelles technologies :
Adaptive Bias Control :
![]() |
| Exemple d'ajustement classique du bias. |
Afin de palier à ces influences, LINN a développé une technologie propriétaire qui va adapter en continu la polarisation afin de coller au mieux aux conditions réelles d'utilisation. Pour se faire le courant de contrôle des transistor est numérisé et comparé en temps réel, par un FPGA, afin de pouvoir contrôler la polarisation pour chaque transistor, individuellement.
Grâce à cette méthode, LINN garantit que le biais optimal est appliqué et constamment ajusté pour être idéal - à n'importe quelle température, indépendamment de volume ou des changements dynamiques exigeants dans le matériel source – tel la durée de vie du produit. Avec le contrôle adaptatif des biais, LINN a résolu de manière concluante les problèmes traditionnels inhérents à la classe AB conception d'amplificateur.
Control :
Pour les Solo 800, LINN a mis en place différents circuits analogique de contre réaction uniques permettant de linéariser le fonctionnement de chaque étage pour un résultat avec un taux de distorsion unique dans le marché.
![]() |
| LINN Klimax 800 Solo - Back panel |
De plus, le fait d'utiliser 16 transistors permet de répartir l'effort et donc la température de fonctionnement ce qui les place dans leur position favorable de fonctionnement aussi bien pour leur linéarité de fonctionnement et donc la performance sonore tout comme leur longévité.
Utopik pour Klimax Solo 800
La désormais bien connue alimenation Utopik dont nous avons longuement relaté ses qualités ici, a été adaptée aux besoins des Solo 800 avec une capacité en puissance de 2000W tout en ménageant vitesse, une des qualité inhérentes aux alimentations SMPS, silences, grace à l'introduction de la technique de Valley switching donc nous parlons dans cet article, et efficacité énergétique, point désormais des plus bienvenus en ces temps de couts d'énergie élevés et de soucis écologique.Elle permet également d'offrir une tension constante et purifiée quelles que soient les conditions du réseau électrique, point critique dans certains pays...
Refroidissement...passif:
Les transistors de puissance ainsi que l'alimentation ont chacun leur radiateur de refroidissement et aucun ventilateur ne viendra gâcher le silence général.
Le généreux dimensionnement permet de garantir un fonctionnement stable jusqu'à 800W en 4Ohm et 1.200W en 2 Ohm ! Les composants internes partagent la chaleur uniformément et profitent davantage
par aspiration naturelle. La simple convection aspire l'air frais dans les évents inférieurs cachés, où il absorbe la chaleur, avant d'être expulsé silencieusement de l'évent oblong subtil et discret de la surface supérieure du Klimax Solo 800.
La conception de gestion de la chaleur pour Klimax Solo 800 minimise la température à l'intérieur de l'ampli, garantissant que les propriétés de ses composants internes restent cohérentes même pendant les passages les plus forts et exigeants de musique. Il maintient la cohérence, l'efficacité et la longévité à chaque fois
Two Wrongs Can Never Make a Right :
Habituellement, lorsqu'un passionné assemble son système hifi, il va chercher à combiner amplificateur et enceintes en essayent d'associer les imperfections de l'un avec celles de l'autre pour en construire un ensemble qui match. Seulement, cela ne générera jamais une réponse idéale mais plus un ensemble qui s'en approche avec des défauts restants.
Avec Klimax Solo 800, LINN a créé un amplificateur qui offre une sortie d'un niveau de linéarité, de contrôle des plus élevés et de distorsion, de rapport signal/bruit encore jamais rencontrés sur le marché afin de garantir de pouvoir l'associer à n'importe quelle enceinte aussi difficile soit elle sans devoir se demander quel amplificateur choisir.
![]() |
| Le dial en façade renseigne sur l'état de l'amplificateur |
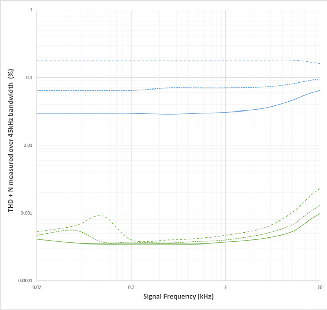
Quelques graphs de mesure livrés par LINN :
Trait plein = 8Ohm - Trait pointillé = 4Ohm - Trait espacé = 2 Ohm
![]() |
| LINN Solo 800 vs DDAGM |
![]() |
| LINN Solo 800 vs DDAGM |
Dans les deux graphiques, les niveaux de distorsion mesurés sont >100x inférieurs à un amplificateur concurrent valant ±100k€ la paire.
Il est également intéressant de noter que dans le cas du premier graphique, la distorsion ne cesse de diminuer avec la puissance pour le LINN Solo 800 alors que l'autre remonte en flèche au delà de, seulement, 90W en 8Ohm...










Aucun commentaire:
Enregistrer un commentaire